| Oracle® Database SQL Reference 10g Release 2 (10.2) Part Number B14200-02 |
|
|
View PDF |
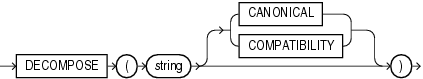
Syntax

Purpose
DECOMPOSE is valid only for Unicode characters. DECOMPOSE takes as its argument a string in any datatype and returns a Unicode string after decomposition in the same character set as the input. For example, an o-umlaut code point will be returned as the "o" code point followed by an umlaut code point.
string can be any of the datatypes CHAR, VARCHAR2, NCHAR, NVARCHAR2, CLOB, or NCLOB.
CANONICAL causes canonical decomposition, which allows recomposition (for example, with the COMPOSE function) to the original string. This is the default.
COMPATIBILITY causes decomposition in compatibility mode. In this mode, recomposition is not possible. This mode is useful, for example, when decomposing half-width and full-width katakana characters, where recomposition might not be desirable without external formatting or style information.
CLOB and NCLOB values are supported through implicit conversion. If char is a character LOB value, it is converted to a VARCHAR value before the COMPOSE operation. The operation will fail if the size of the LOB value exceeds the supported length of the VARCHAR in the particular development environment.
|
See Also: Oracle Database Globalization Support Guide for information on Unicode character sets and character semantics |
Examples
The following example ss the string "Châteaux" into its component code points:
SELECT DECOMPOSE ('Châteaux') FROM DUAL;
DECOMPOSE
---------
Cha^teaux
|
Note: The results of this example can vary depending on the character set of your operating system. |