| Oracle® Database SQL Reference 10g Release 2 (10.2) Part Number B14200-02 |
|
|
View PDF |
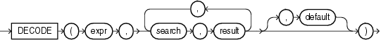
Syntax

Purpose
DECODE compares expr to each search value one by one. If expr is equal to a search, then Oracle Database returns the corresponding result. If no match is found, then Oracle returns default. If default is omitted, then Oracle returns null.
The arguments can be any of the numeric types (NUMBER, BINARY_FLOAT, or BINARY_DOUBLE) or character types.
If expr and search are character data, then Oracle compares them using nonpadded comparison semantics. expr, search, and result can be any of the datatypes CHAR, VARCHAR2, NCHAR, or NVARCHAR2. The string returned is of VARCHAR2 datatype and is in the same character set as the first result parameter.
If the first search-result pair are numeric, then Oracle compares all search-result expressions and the first expr to determine the argument with the highest numeric precedence, implicitly converts the remaining arguments to that datatype, and returns that datatype.
The search, result, and default values can be derived from expressions. Oracle Database uses short-circuit evaluation. That is, the database evaluates each search value only before comparing it to expr, rather than evaluating all search values before comparing any of them with expr. Consequently, Oracle never evaluates a search if a previous search is equal to expr.
Oracle automatically converts expr and each search value to the datatype of the first search value before comparing. Oracle automatically converts the return value to the same datatype as the first result. If the first result has the datatype CHAR or if the first result is null, then Oracle converts the return value to the datatype VARCHAR2.
In a DECODE function, Oracle considers two nulls to be equivalent. If expr is null, then Oracle returns the result of the first search that is also null.
The maximum number of components in the DECODE function, including expr, searches, results, and default, is 255.
|
See Also: "Datatype Comparison Rules" for information on comparison semantics, "Data Conversion" for information on datatype conversion in general, "Floating-Point Numbers" for information on floating-point comparison semantics, and "Implicit and Explicit Data Conversion" for information on the drawbacks of implicit conversion |
Examples
This example decodes the value warehouse_id. If warehouse_id is 1, then the function returns 'Southlake'; if warehouse_id is 2, then it returns 'San Francisco'; and so forth. If warehouse_id is not 1, 2, 3, or 4, then the function returns 'Non domestic'.
SELECT product_id,
DECODE (warehouse_id, 1, 'Southlake',
2, 'San Francisco',
3, 'New Jersey',
4, 'Seattle',
'Non domestic')
"Location of inventory" FROM inventories
WHERE product_id < 1775;