| Oracle® Database SQL Reference 10g Release 2 (10.2) Part Number B14200-02 |
|
|
View PDF |
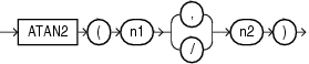
Syntax

Purpose
ATAN2 returns the arc tangent of n1 and n2. The argument n1 can be in an unbounded range and returns a value in the range of -pi to pi, depending on the signs of n1 and n2, expressed in radians. ATAN2(n1,n2) is the same as ATAN2(n1/n2).
This function takes as arguments any numeric datatype or any nonnumeric datatype that can be implicitly converted to a numeric datatype. If any argument is BINARY_FLOAT or BINARY_DOUBLE, then the function returns BINARY_DOUBLE. Otherwise the function returns NUMBER.
Examples
The following example returns the arc tangent of .3 and .2:
SELECT ATAN2(.3, .2) "Arc_Tangent2" FROM DUAL; Arc_Tangent2 ------------ .982793723